
Ảnh chỉ mang tính minh họa (Ảnh: ngonaz.com)
Việc tăng cường hương vị thực phẩm, đặc biệt là trong các món ăn Trung Quốc thường liên quan đến việc chiên một lượng nhỏ (10–20g) các loại thảo mộc và gia vị tạo hương vị như tỏi, hành, gừng, húng quế … trong dầu ăn đã đun nóng đến 1300C trong thời gian ngắn. Dầu thực vật được sử dụng nhằm một số mục đích bao gồm tạo hương vị, tạo độ nhớt và giữ màu thực phẩm.
Tuy nhiên, các cuộc điều tra dịch tễ học gần đây đã cung cấp bằng chứng chất gây ô nhiễm không khí phát sinh tại nhà bếp trong quá trình chế biến thực phẩm có thể liên quan đến tỷ lệ mắc bệnh ung thư phổi cao ở phụ nữ Đài Loan không hút thuốc. Cho đến nay, nhiều nghiên cứu đã tập trung vào sự phát triển của bệnh ung thư bởi các hydrocacbon thơm đa vòng (PAHs), amin dị vòng (HCA) và một số phân tử lượng thấp (LMW) và phân tử lượng cao hợp chất aldehyde được giải phóng từ nhiên liệu được đốt nóng. Tuy nhiên, gần đây các nhà khoa học đã phát hiện mức độ cao của ethylene oxide (EO) và acetaldehyde (AE) trong số các hợp chất hữu cơ dễ bay hơi (VOC) thải ra trong quá trình chiên nhanh các loại thảo mộc và gia vị trong dầu đậu nành ở nhiệt độ 1200C-2000C. Cả EO và AE đều được phân phối giữa pha khí và pha dầu sau khi nấu mỗi loại rau ở 1500C trong 5 phút trong điều kiện nitơ hoặc không khí ở 1 atm. Nồng độ EO trong pha khí (25–75 ppm) vượt quá giá trị giới hạn ngưỡng 1 ppm, quy định bởi Cơ quan Quản lý An toàn và Sức khỏe Nghề nghiệp Mỹ. Trong khi đó, EO đã được xác định là một chất gây ung thư.
Ethylene oxide (EO) và acetaldehyde (AE) hình thành trong quá trình chiên như thế nào?
Hàm lượng acetaldehyde là không đáng kể trong các hợp chất dễ bay hơi từ dầu thực vật hoặc rau tươi, trái ngược với hàm lượng các chất dễ bay hơi được tạo ra trong quá trình chiên. Hàm lượng EO được pháp hiện trong 3 mẫu dầu đậu nành thương mại thấp hơn so với mẫu được đun nóng. Các loại dầu ăn khác cũng được phân tích để so sánh, trong đó chỉ có dầu lạc (đậu phộng) không chứa EO hoặc AE. Một loại dầu ô liu được thử nghiệm có nồng độ cao nhất của cả EO và AE.
Nghiên cứu cho thấy, EO và AE trong nguyên liệu thô và các mẫu được gia nhiệt đến nhiệt độ dưới 1300C là không đáng kể. Nồng độ của cả EO và AE trong pha dầu và hơi tăng khi nhiệt độ chiên trong khoảng 130–2000C. Trong điều kiện không khí, lượng EO và AE được tạo ra cao hơn nhiều lần khi so sánh với trong điều kiện nitơ. Điều này cho thấy quá trình oxy hóa là một con đường quan trọng để hình thành hợp chất dễ bay hơi. Một hàm lượng đáng kể khoảng 5,7 ppm EO và 3,8 ppm AE có trong dầu sau khi chiên. EO cũng được tìm thấy với hàm lượng lên đến 3 ppm ở pha hơi. Do đó, một lượng đáng kể của cả EO và AE chỉ được tạo ra trong dầu đậu nành trong điều kiện chiên.
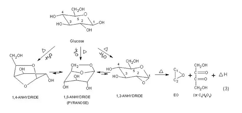
Trong mỗi trường hợp, việc chiên tỏi, hành, gừng hoặc húng quế trong dầu đậu nành tạo ra các lượng khác nhau của cả EO và AE so sánh với việc đun nóng dầu đậu nành đơn thuần. Như vậy các thành phần của rau ảnh hưởng đến lượng EO và AE phát thải. Những dữ liệu này giải thích lượng phát thải lớn AE do những người bán thực phẩm khi chế biến nước xốt chứa tỏi và dầu ô liu được báo cáo trước đó. Ngưỡng cho phép của EO và AE là 1 ppm và 25 ppm (Sở Y tế và Dịch vụ cấp cao New Jersey 1998, 2001). Hậu quả là, nồng độ EO và AE trong pha hơi hoặc dầu, hoặc ở dạng hạt được tạo ra trong quá trình chiên, có thể đạt đến mức nguy hiểm trong không gian có hệ thống thông gió kém. Mặc dù, mẫu dầu đậu nành chỉ giảm khối lượng ̴ 0,10% sau quá trình chiên trong điều kiện nitơ ở 130–1500C trong 5 phút, nồng độ cao 3–5 ppm EO và AE được phát hiện trong pha dầu. Hàm lượng cao hơn của EO và AE được tạo ra trong điều kiện chiên trong không khí cho thấy các phản ứng bổ sung đã xảy ra. Khi quá trình chiên được thực hiện trong không khí và có mặt độ ẩm, mức độ thủy phân dầu cao hơn so với trong điều kiện nitơ, và việc loại nước sau đó tạo ra nhiều EO hơn (Phương trình). Ngoài ra, các phản ứng oxy hóa nhiệt cũng có thể tạo ra nhiều EO và AE hơn. Khi các loại thảo mộc và gia vị ban đầu được làm khô bằng cách đun nóng trong dầu, trong cùng một phạm vi nhiệt độ trong điều kiện không khí hoặc ni tơ, nồng độ mỗi chất tăng lên tới 6-20ppm. Một cơ chế tương tự có thể liên quan đến quá trình loại nước của rau nguyên liệu trong quá trình hình thành các hợp chất carbohydrate như 1,2-anhydroglucosan, sau đó trải qua quá trình phân tách (Phương trình) để tạo thành EO.

Phương trình phản ứng loại nước
** Tại sao không phát hiện được EO phát thải trong quá trình chiên trong các nghiên cứu trước đây?**
Trong khi không có báo cáo nào trước đây về việc hình thành EO khi đun nóng dầu đậu nành, sự hình thành của AE đã được báo cáo trước đó. Nawar (1984) cho rằng AE được tạo ra chủ yếu từ sự phân hủy các aldehyde nặng như 2,4-decadienal thông qua sự hình thành các hydroperoxide sau đó phân hủy chúng thành AE và glyoxal. Các hợp chất olefin tự do cũng có trong dầu đậu nành, và khả năng AE cũng có thể được bắt nguồn từ các thành phần này chưa tính toán được. Bên cạnh đó, EO có thể bị đồng phân hóa tỏa nhiệt để tạo thành AE ổn định.
Có một số lý do EO không được phát hiện trong các nghiên cứu trước đây về các thành phần của dầu ăn. Thứ nhất, EO là chất hoạt động mạnh, có thể dễ dàng mở cấu trúc vòng và giải phóng năng lượng một cách tự nhiên, xảy ra quá trình đồng phân hóa thành acetaldehyde. Thứ hai, sự khác biệt đáng kể nhất trong phổ GC/MS của EO và axetandehit xảy ra dưới khối lượng 18. Quang phổ của vùng trên khối lượng 20 cho cả hai hợp chất về cơ bản là giống nhau. Hệ quả là, bất kỳ EO nào được tạo có thể đã bị nhận dạng nhầm là AE hoặc kết hợp với AE như trong các nghiên cứu trước đó. Thứ ba, độ bay hơi cao của EO và nồng độ thấp của chất này trong hợp chất bay hơi phía trên dầu làm cho việc thu và giữ lại một lượng nhỏ không thay đổi của EO trong khí thải trở nên khó khăn, đặc biệt khi hệ thống chân không được sử dụng.
Kết luận
EO và AE được tạo ra trong quá trình chiên tỏi, hành, gừng và húng quế trong dầu đậu nành ở nhiệt độ 130–2000C, với hàm lượng có thể gây ra sự nguy hại đối sức khỏe khi nấu nướng trong không gian thông gió kém hoặc chật hẹp. Nồng độ liên quan trong các pha dầu và hơi cho thấy EO được hình thành đầu tiên và ít nhất một phần AE đã được tạo thành bằng phản ứng đồng phân hóa EO. Các nhà chế biến thực phẩm và những người nội trợ cần lưu ý khi để tạo ra những sản phẩm tốt cho sức khỏe, đồng thời bảo vệ an toàn cho người tham gia chế biến.
———–
Etylen oxit (EO) là một chất khí hoặc chất lỏng không màu với mùi ngọt như ete. Nó gồm 3 vòng với năng lượng là 25 kcal/g-mol. Nó phản ứng rất mạnh với tất cả các hợp chất có chứa nguyên tử hydro không bền – trong đó có nước, phản ứng tạo thành monoetylen glycol (MEG). Nhiệt độ bay hơi (Bp) của nó chỉ 10,80C và nó có thể trộn lẫn với nhiều dung môi: nước, rượu và ete. Do khả năng phản ứng cao và hoạt tính được biết đến như một tác nhân alkyl hóa sinh học, EO được phân loại là chất gây ung thư, với ngưỡng là 1 ppm. Bp của axetanđehit (AE) là 20,160C và ngưỡng của nó là 25 ppm (California, 1993; Sở Y tế và Dịch vụ Cấp cao New Jersey, 1998). EO đồng phân hóa đẳng nhiệt thành AE. Do đó, cả EO và AE có thể sử dụng như một chỉ số về mức độ ô nhiễm khí thải trong nấu nướng dựa trên sự phát thải của các chất dễ bay hơi phân tử lượng thấp.
– Ths. Khuất Thị Thủy, Viện Công nghiệp thực phẩm dịch-
Bài dịch từ Jiune-Shyoung Lin, Karl T. Chuang, Mao-Sun Huang, Kuo-Ming Wei (2007) “Emission of ethylene oxide during frying of foods in soybean oil”, Food and Chemical Toxicology, Vol. 45, pp. 568- 574.
Chia sẻ bài viết
- Đoàn Cán Bộ Viện Hàn lâm Khoa học tỉnh Quảng Tây, Trung Quốc đến thăm và làm việc tại Viện Công Nghiệp Thực Phẩm24/04/2026
- Tham tán Kinh tế và Thương mại Israel đến Thăm và Làm việc tại Viện Công nghiệp thực phẩm21/04/2026
- Hội thảo Ứng dụng Vi sinh vật Biến đổi Gen trong Sản xuất Công nghiệp15/04/2026
- Cơ quan Quản lý Thực phẩm Singapore (SFA) thu hồi rượu sake Sparkling Mio Premium (Hồng) do lo ngại về nguy cơ ảnh hưởng đến sức khỏe thận07/04/2026
- Tọa đàm Xây dựng Chương trình Khoa học Công nghệ và Đổi mới sáng tạo lĩnh vực Công Thương30/03/2026
